首页
全部产品
生物菌剂
生物有机肥
生物液肥
生物复混肥
生物冲施肥
其他
高产套餐
大田作物
果树作物
棚菜作物
茶叶中药材
烟草花卉
解决方案
补充营养系列
育苗壮秧系列
生根促熟系列
抑菌抗病系列
改良土壤系列
增色膨果系列
科研项目
农技知识
专家指导
大田作物
果树作物
棚菜作物
茶叶中药材
烟草花卉
案例纪实
东北地区
华东地区
华南地区
华中地区
华北地区
西北地区
西南地区
视频中心
电视专题片
案例实拍
技术指南
招商加盟
线下招商
线上招商
购买商城
关于我们
科研项目
所在位置>
主页
>
解决方案
>
科研项目
【许博士农技大讲堂】我国典型农田长期施肥小麦氮肥回收率的变化特征
SOLUTIONS
解决方案
补充营养系列
育苗壮秧系列
生根促熟系列
抑菌抗病系列
改良土壤系列
增色膨果系列
科研项目
农技知识
HIGH YIELD PACKAGE
高产套餐
1
许博士马铃薯高产套餐
NEWS
新闻资讯
想让您的草莓早上市吗?想让您的草莓多采摘吗?想让您的草莓口感好吗?
更新时间
2024-02-22
by
admin
2017年通用型快熟宝在葡萄上的效果显示是什么样的? 点击进入!!!
更新时间
2024-02-22
by
admin
马铃薯白绢病的症状及防治方法
更新时间
2023-01-13
by
admin
棉花化控用什么药好?
更新时间
2023-01-13
by
admin
1月份果园管理技术要点
更新时间
2023-01-13
by
admin
PRODUCT CENTER
全部产品
新重茬一号(粉剂)
水稻快熟宝
大丰收
焖棚一号
营养密码725
信息时间:2017-08-18
信息来源:admin
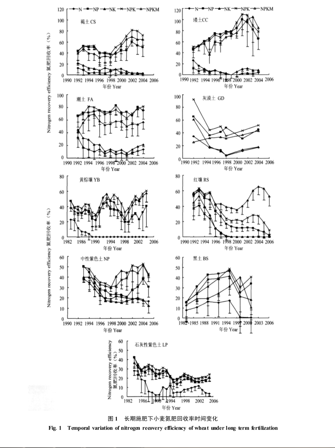
为阐明长期不同施肥下小麦氮肥回收率的时间演变特征及空间差异,为农田氮肥合理施用及提高氮肥回收率提供科学依据,对我国典型农田土壤—(土娄)土、潮土、褐土、灰漠土、黄棕壤、黑土、中性紫色土、石灰性紫色土和红壤上设置的15~24年的长期试验的氮肥回收率及相关数据进行统计分析。结果表明,长期单施氮肥(N)、氮钾配施(NK)下,小麦氮肥回收率随时间延长而显著降低,降低速率为红壤(7.24)>黄棕壤(4.16)>(土娄)土(1.48)、中性紫色土(1.44)、潮土(1.06)>石灰性紫色土(0.60);化肥配合及与有机肥配施(NP、NPK、NPKM)的氮肥回收率在潮土、灰漠土、黄棕壤、黑土、中性紫色土上随时间变化不大。化肥配合施用(NPK)下,(土娄)土、潮土、褐土、灰漠土、黄棕壤、黑土、中性紫色土、红壤和石灰性紫色土上的小麦氮肥回收率平均值分别为76.8%、73.4%、56.4%、44.9%、44.4%、33.8%、41.7%、33.6%、26.2%。小麦氮肥回收率以北方暖温带的(土娄)土、潮土、褐土大于南方中亚热带紫色土和北方中温带的黑土。
上一篇:
【许博士农技大讲堂】牛粪堆肥过程中有机态氮的动态变化
下一篇:
【许博士农技大讲堂】施用腐植酸对叶菜硝酸盐含量的影响
分享至:
试验品免费领取专区
发表评论
表情:
请输入您想说的话吧!
验证码:
匿名?
发表评论